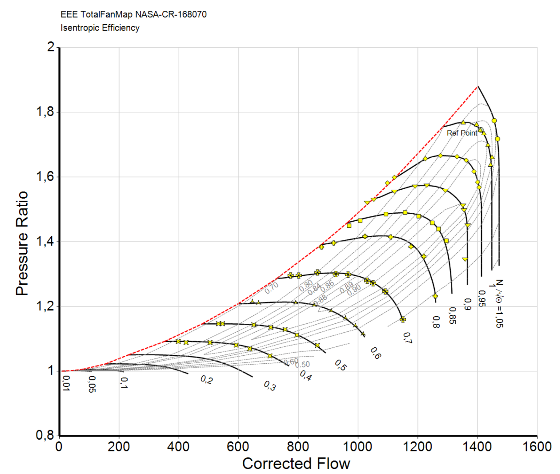
Use this map together with the fan core map from NASA CR-168070

Energy Efficient Engine
Fan and Quarter-Stage Component Performance Report
General Electric
NASA -CR-168070, 1983

Download this map in GasTurb or NPSS table format.